もう、かれこれ20年以上、医薬品をできるだけ使わず、ビタミン、ミネラル、ハーブ、エッセンシャルオイルといったサプリメントを使った治療を行ってきました。ようやく代替療法の真髄がわかってきました。 目の疲労にはブルーベリー、ビタミンCの大量療法は癌に効く、骨粗鬆症にはカルシウム、といった古臭いアドバイスはしません。 このページでは、5年~10年先に世間はやっと私が言っていることが本当だと理解する、疲労回復のサプリメントを紹介しています。

『疲労』といっても、ちょっとした「けだるさ」から始まり、 くたくたの疲労困憊、心身のすり切れ状態まで、実にさまざまな種類とひどさがあります。ここでは、医者に診てもらうほどではないけれど、日常よく経験する三つの疲労をとりあげます。
(なお、妊娠中のかたは、以下の疲労サプリメントはお摂りにならないでください)。

1) デスクワークによる疲労サプリメント

眼精疲労と、同じ姿勢をとり続けるためにおこる肩や腰の筋肉の疲労の二つがミックスされた疲労。

疲労対策「Aセット」

2) 神経的疲労サプリメント

非常に神経を使うビジネス交渉、部下からの突き上げ、同僚からの嫌がらせ、ピーンと張りつめた過度の緊張感が漂う職場、受験勉強、資格試験対応など、とにかく神経をすりへらす状況からくる疲労。

疲労対策「Bセット」

3) 肉体的疲労サプリメント

肉体そのものを消耗させる状況からくる疲労。いくら十分に睡眠をとっても抜けない、全身の虚脱感。

疲労対策「Cセット」

人の体は千差万別で、疲労のあり方も千差万別です。精神と肉体ともに疲れていることも多いものです。そういう場合、セットB、Cを三日おきに摂る、筋肉痛もあるようなら、セットAとBを交互に摂る、というように工夫してください。

以上、A、B、Cのサプリメントセットをお摂りになっても少しも改善しない場合は、次の項目をチェックしてください。

  • 常用している薬のせいではないか。例えば、降圧剤、抗高脂血症剤、睡眠薬など。

  • 甲状腺機能、副甲状腺機能のチェック

  • 貧血のチェック

  • 肝機能のチェック

  • 腎機能のチェック

  • 悪性の血液疾患(白血病、悪性リンパ腫、多発性骨髄腫など)

  • 原因不明の微熱に注意:膠原病、結核(意外と多いのです)、慢性虫垂炎なども疑ってください。

Doctors Supplements

疲労対策サプリメントに含まれる成分のはたらき

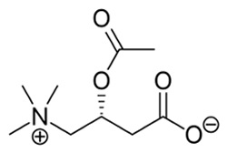
アセチル-L-カルニチン

アセチル-L-カルニチン

L-カルニチンはリジンとメチオニンから肝臓で合成され、骨格筋、心筋に非常に多く存 するビタミン様物質です。脂肪代謝の補因子として働き、脂肪を燃焼させ、ATPの産生に深くかかわっています。ATPは人体のエネルギー通貨と比喩されるように、疲労回復には必須の成分です。

しかし、L-カルニチンは加齢とともに減少し、50代になれば日に100ミリグラムは積極的に補ったほうがいいとされます。獣肉類の赤身に多く含まれ、例えばマトン30グラム、牛肉100グラム、赤貝100グラムにこれだけの量が含まれています。しかし毎日、これらを食べるわけにはいきませんから、サプリメントから補うことになります。

アセチル-L-カルニチンは、L-カルニチンにアセチル基(CH3CO-)が結合したもので、血液脳関門をとおり、脳の中で、アセチルコリンの産生を促します。 アセチルコリンは副交感神経や運動神経の末端から放出される神経伝達物質で、神経系統の正常な働きには不可欠なのです。

BCAA

これは分岐アミノ酸(Branched-Chain Amino Acid)の略で、ロイシン、イソロイシン、バリンの三つの必須アミノ酸です。 筋肉に十分なグリコーゲンがないとき、筋肉のタンパク質が分解されエネルギー源となりますが、BCAAがエネルギー源となって、そのタンパク質の分解を止めてくれます。

したがって、持久系アミノ酸とも呼ばれ、マラソンランナーなどは走る前に、このアミノ酸を摂ります。また、筋肉の疲労をはやく回復させてくれます。 長時間のデスクワークもマラソンと同じようなものですから、BCAAを補われたらいいでしょう。

ビタミンB12

ビタミンB12

このビタミンは赤い色をしています。中心にコバルトをもつ錯体で、かなり分子量の大きいビタミンです。 もともと、悪性貧血に、動物のキモ(肝臓)を食べると効果があるということで研究されているうちに発見されたものです。 老化とともに胃壁の萎縮がおこり、 ビタミンB12の吸収が悪化し、50歳以上になると2割り~3割りの人に不足してきます。 若い人でも、少なくとも1割りの人に不足しており、女性の方が男性より不足しがちです。

ビタミンB12には、メコバラミン、シアノコバラミン、ヒドロキソコバラミン、アデノシルコバラミンと4つのタイプがあります。 その中で、最も活性の強いのがメコバラミンで、私が処方するのも、このメコバラミンで、しかも日に5000μgです。

長時間、同じ姿勢でいると、どうしても筋肉が硬くなり、血液の循環も悪くなり、抹消神経が圧迫され疲弊します。そこで、腰痛や肩こりが発生します。この状態を改善するには、メコバラミンは重要です。できれば、40日間、摂ってください。

それで、少しも改善されなければ、単なる姿勢の問題ではなく、背骨そのもののゆがみや、極端な場合、膵臓癌、前立腺癌などの骨への転移もいちおう考慮してください。
また、特に糖尿病で、血糖値を下げる薬(メトフォルミン)を服用している人は、必ず補ってほしいサプリメントです。

イチョウの葉エキス

イチョウの葉エキス

イチョウの葉に含まれているバイオフラヴォノイドの一種であるギンゴフラヴォン配糖体と、テルペンのギンゴライドが脳や網膜の微細な血管の血流を改善し、また不必要な血小板の凝集を阻止してくれます。
もう一つのテルペンのビロバライドには、傷ついた神経細胞の修復作用があるともいわれており、アルツハイマー病の予防にもなります。
また動物実験ではドーパミンのレベルを上げることが確認されています。

就寝前にはとらないほうがよいでしょう。脳の血流がよくなりすぎて頭が冴えて不眠になることがあるからです。アスピリンとは併用しないほうが無難です。血の流れがよくなりすぎて脳出血や眼底出血をおこすことがまれにあることが報告されています。

α-GPC

α-GPC

これはL-Alpha glycerylphosphorylcholine (グリセリルホスホリルコリン)の略です。主に脳や網膜に含まれる、コリン誘導体の一つです。 この物質は、血液脳関門を通過し、神経伝達物質であるアセチルコリンを増やします。

網膜の光受容細胞である視細胞の細胞膜の滑らかさを高めて、それによって視細胞の代謝を良くしてくれます。目には、ブルーベリーのアントシアニジン、マリーゴールドのルテインやゼアキサンチンがよく推薦されますが、目の疲れに即効性のあるのは、何と言っても、このα-GPCです。

乳の中に非常に多く含まれていることから、お分かりになるように、きわめて安全な物質です。α-GPCは記憶力や認知力も高めることが確認されています。 また、成長ホルモンの分泌も促しますから、それによって若返りの効果も期待されます。

マンゴ葉乾燥エキス

マンゴ葉乾燥エキス
この主成分であるマンギフェリン(Mangiferin)は左図の化学構造を有する天然フェノール化合物です。マンゴの実の芯にも多く含まれています。

デスクワークによる疲労サプリすでに、糖尿病の合併症抑制、抗肥満、肝臓保護作用などが知られています。近年、このマンギフェリンにカフェインに類似した作用があることが見いだされました。カフェインと酷似したパターンで脳波を活性化して、長期増強を促進するのです。つまり、メンタルエナジーの回復と増強です。計算能力も高まることは、人を使った治験でも証明されています。

ドーパミン作動性シグナル伝達、およびノルアドレナリン作動性シグナル伝達の増強などのメカニズムが作用していると考えられています。しかし、カフェインのもつ神経を興奮させる作用なしに、そういう効果があるのです。ビジネスの神経戦に打ち勝つには必須のサプリメントかもしれません。
筋肉に関しても、虚血再灌流後の最高パワー出力の顕著な改善も認められています。したがって、アスリートにも非常に向いたサプリメントです。

α-リポ酸

α-リポ酸

80年以上も前の1937年に、α-リポ酸はジャガイモから発見されました。α-リポ酸は体内でつくられるという意味においてはビタミンでもミネラルでもありません。しかし、非常にわずかしか人体では産生されず、加齢とともに減少し、また食物から得ようとしても極めて難しいので、サプリメントで補う必要があります。

ビタミンE、C、β-カロテンなどは一つのチームとして相乗的に抗酸化作用を行いますが、その相乗効果をさらに高めてくれるのが、このα-リポ酸なのです。

肝機能を活性化させ、人体に蓄積する有害物質の解毒を促します。α-リポ酸の権威であるバークソン博士の著書「The Alpha Lipoic Acid Breakthrough」の序章に、 毒キノコによる4人の瀕死の患者を博士がα-リポ酸で救ったエピソードが書かれています。 毒キノコで肝機能が著しく侵され、あとは死を待つのみという4人が、4人とも奇跡的に完治するのです。それほど強力な肝保護・解毒作用を示します。
糖尿病、ならびに糖尿病予備軍の人は、末梢神経を守るためにも積極的に摂ってください。

CoQ10

コエンザイム

コエンザイム(補酵素)Qともよばれ、人体のあらゆる細胞に存在し、エネルギー産生 に深くかかわっています。それがゆえに、最も多く含有されている場所は、細胞の電力発電所とよばれるミトコンドリアです。

CoQ10は、α-リポ酸と同じように厳密な意味でのビタミンではありませんが、食物から摂取しなくてはならないとう点で、ほぼビタミンと同じ類と考えていい抗酸化物質です。特にビタミンEをリサイクルしてくれますので、抗酸化物質ネットワークの一つのメンバーとしてその重要性が認められています。

1957年に牛の心臓のミトコンドリアから分離され、翌年、実験室での合成に成功しました。これはアメリカでの話ですが、1960年代に日本は世界にさきがけて最も多くこのCoQ10を研究し、現在では40あまりの製薬会社がそれぞれのブランド名で医療機関に販売しています。
特に心筋症、高血圧、歯肉炎に、効果があり、アルツハイマー病、パーキンソン病、筋萎縮性側索硬化症(あの車椅子の天文学者ホーキング博士がわずらっていた病気)といった脳神経系の病気にも有効であるという研究がなされています。免疫系を活発にし、がんも予防してくれます(特に乳がん)。若返りにも効果があります。
また、CoQ10は体の中でもチロシンというアミノ酸からわずかですが合成されますが、それにはビタミンB6が必要です。したがって、ビタミンB群のサプリメントも補ったほうがいいのです。
もし、あなたが特にスタチン系の抗コレステロール剤(メバロチン、リポバス、ローコール、リピトール、リバロなど)、スルフォニルウレア系血糖降下薬(オイグルコン、ダオニール、アマリール、ブタマイド、アベマイド、ジメリン、デアメリンなど)、三環系抗うつ剤(ノリトレン、アモキサン、イミドール、トフラニール、トリプタノール、スルモンチール、アナフラニール、アンプリット、プロチアデンなど)を服用しているのであれば、CoQ10が不足してきます。ですから、積極的に補う必要があります。

ビタミンB群

ビタミンB群

ふつうビタミンB群という場合、ビタミンB1、B2、B3、B5、B6、B12、葉酸、ビオチン の8種類をまとめたものをいいます。
補酵素として、酵素の役目を補い、人体のさまざまな生理に不可欠なものです。B1の欠乏では脚気(かっけ)、B2欠乏は口内炎、口角炎、 B3欠乏ではペラグラ、 B12欠乏では悪性貧血、葉酸欠乏では巨赤芽球性貧血、などがあるのですが、最近はB2不足で生じる口内炎や口角炎以外は事実上まれです。しかし、そういうひどい病気をひきおこすほどの不足はないが、慢性的に正常範囲の境界ぎりぎりの不足がある人はかなり多いと推測されます。

こういう場合、B群の不足は、特に身体的に顕著に見える症状よりも、精神的ないら立ち感、忘れっぽさなど、が目立ってきます。

  • B1:副腎が正常に機能するにも必要です。過度のアルコールの摂取はB1不足をおこします。
  • B2:リボフラビンともよばれ、強力な抗酸化作用を示します。B群のサプリメント摂ると、尿が黄色になるのは、B2の鮮やかな黄色に由来するものです。
  • B3:LDL(悪玉コレステロール)の増加を阻止してくれます。B3はレイノー氏病、統合失調症、パーキンソン病、てんかんにも効果があります。 CoQ10が体内で合成されるときにもB3は必要です。またセロトニンのレベルをあげることによって、満足感あるいは幸福感をまし、攻撃的性格を和らげ、精神の安定にも役立ちます。
  • B5:このビタミンは抗ストレスビタミンと呼ばれることがあるように、B1 と同様に副腎機能を活発にし、ステロイドホルモンの分泌を促します。
  • B6:B12、葉酸とともに、悪性のアミノ酸であるホモシステインのレベルを下げてくれます。B6は松果体を刺激してメラトニンの分泌を促し、不眠にも効果的です。 秘書、タイピスト、レジ係、作家など、手首をよく使う仕事に従事する人にみられる手根管症候群という病気がありますが、これにも有効です。パーキンソン病の治療を受けている人は、注意して下さい。パーキンソン病に使われるある種の薬(レヴォドーパ)の作用をだいなしにするからです。 また、非常にまれですが、うつ症状を悪化させることがありますから、注意してください。
  • B12:「デスクワークによる疲労」のページに記載されている説明をお読みください。
  • 葉酸:とくに子宮頚部がんの予防に効果的です。

ビオスリー

ビオスリー

腸を整えるための有益な3種類の細菌がミックスされたサプリメントです。では、なぜ、対人関係からくる疲労に腸を整えることが必要なのでしょうか?その理由は、腸は第二の脳とよばれるくらい、脳と密接に関係があるからです。
腸の長さは日本人の大人の場合6~7メートルもあり、広げるとテニスコート1面分の面積があります。 そこに存在する神経細胞の数は1億個で、脳以外に散在する神経細胞の約50 %は腸に集まっているのです。 つまり、腸は脳とともに、精神的ストレス、情緒、睡眠などを共同でコントロールしているわけです。

それと、腸は最大の免疫器官なのです。小腸の内側には小さな毛のような絨毛とよばれる突起が密集していますが、その間隙にパッチワークのようにパエイル板という器官が点在します。パイエル板はリンパ小節の集合体で、いわば免疫系をコントロールする一つの司令塔のような役割を果たしています。
また、小腸の上皮には腸管固有リンパ球が、上皮細胞5~6個につき1個ほど存在し、その数はすべての免疫系細胞の60%にのぼるといわれています。
対人関係ほど人の神経を疲労させるものはありません。神経が疲労すると、当然、免疫も衰え、あらゆる病気にかかりやすくなります。 それをビオスリーで未然の内に防いでください。

腸は長いので、場所によって酸素の濃度が違い、住む細菌も違ってきます。 酸素がないと生きてきない細菌(偏性好気性菌)、酸素は必ずしも存在する必要がないが酸素が存在すれば発育が良好となる細菌(通性嫌気性菌)、 酸素があると生きていけない細菌(偏性嫌気性菌)。ビオスリーはこれら三つの細菌をうまく組み合わせて、腸内の細菌叢(フローラ)を整えてくれます。 フローラは人によって実にまちまちで、一つの細菌を補っただけでは、なかなかうまくいきません。

エゾウコギ

エゾウコギ

これは、ロシアや中国の北部、日本の北海道など、寒冷地に自生するウコギ科の落葉低木です。1960年代の旧ソ連で非常に研究され、それは1980年のモスクワオリンピックで実を結び、旧ソ連の選手たちはエゾウコギから抽出・濃縮さたれエキスをのみ、多くのメダルを獲得しました。またソ連の宇宙飛行士もエゾウコギのサプリメントを摂っていました。

エゾウコギの有効成分の一つエレウテロサイドEは、脳下垂体からβ-エンドルフィン(脳内モルヒネ)の分泌を促します。このβ-エンドルフィンにより痛みや疲労が和らぎ、肉体の回復力が高まり、持久力や集中力が維持されます。また、β-エンドルフィンはNK細胞を活性化し、免疫の力が上がり、感染症に強くなります。

また、エレウテロサイドBやイソフラキシジンには、白血球や血小板の粘着・凝集抑制効果があり、血流を良くする働きがあります。これにより、冷え性、肩こり、頭痛などを和らげてくれます。
エゾウコギに含有されているピノレジノール・ジグロコサイドという物質は、体内でエンテロラクトンという成分に変わります。このエンテロラクトンには女性ホルモンに似た作用があり、更年期障害の治療・予防に効果的です。 その他、エゾウコギには肝臓の保護作用、抗潰瘍、抗放射線作用などがあることも認められています。

Visits: 991