免疫力のアップこそ健康の源。不調を根本から改善するドクターズサプリメント。
風邪をひきやすい。口唇ヘルペスができやすい。インフルエンザが流行している。 海外出張のため、世界中のウイルスが満載された国際線の飛行機に乗らなければいけない。糖尿病の持病があり、免疫が弱い。尿路感染を繰り返す。癌家系なので、免疫を高めたい。
免疫のシステムは実に複雑で、さまざまな要素がからみあっています。最も簡単なものは、リンパ球の一つNK細胞、単球から分化誘導されてできるマクロファージです。これらは、外部から侵入した細菌やウイルスを殺してくれます。しかし、免疫の力を高めましょうといったときには、それらの免疫細胞を増やすだけでなく、総合的に、抗酸化力、抗糖化力、抗ストレス力、そして体力をつけましょうということになります。
その助けになるサプリメントをA、B、C、の三つのセットに分類しました。最初の1ヵ月はAセット、2ヵ月目はBセット、3ヵ月目はCセット、というように摂り、体調を観察してください。そして、例えば、Bセットを摂っていたときが最も調子がよかったと感じられるなら、4ヵ月目からBセットを続けてください。
そして、Bセットの5つのサプリメントの中から一つずつ選んで、例えば、チャーガを摂っていればヘルペスの再発が減ったと、ご自分で体験できれば、あなたにとって免疫強化に最も役立ったサプリメントはチャーガであったとわかるのです。
なお、妊娠中のかたは、下記の免疫強化対策サプリメントはお摂りにならないでください。
1) 免疫強化対策サプリメント「Aセット」
2) 免疫強化対策サプリメント「Bセット」
3) 免疫強化対策サプリメント「Cセット」
Doctors Supplements
免疫強化対策サプリメントに含まれる成分のはたらき
セレン

グルタチオンペルオキシダーゼは、過酸化水素から、細胞膜や細胞中の小器官の膜を守る、非常に重要な働きをする酵素です。8種類のアイソザイムがあり、そのうちの4つは構成分子にセレンを含んでいます。つまり、強力な酸化物質である過酸化水素に対する、抗酸化能力はセレンに依存しているわけで、したがって、セレンが欠乏すると、当然、免疫の力は落ちてきます。
また、セレンは甲状腺ホルモンを活性化させます。2種類の甲状腺ホルモンがあり、通常、T3、T4と略されます。 T3は活性型で、T4から変換されてT3ができますが、この代謝には三つの酵素がかかわっています。そのうちの一つ、Ⅰ型ヨードサイロニン脱ヨウ素酵素はセレンを含むセレノシステインというアミノ酸が含有されているのです。その酵素がうまく働くにはセレンが必須です。免疫を正常に保つには、活性型の甲状腺ホルモンT3は必要ですから、セレンの果たす役目は、ここでも重要なのです。
そして、砒素、鉛、水銀、銅、カドミウム、といった金属の解毒にセレンは有効です。就寝前に摂ってください。このセットの中に入れてある量のセレンを摂って、過剰症がおこることは、まずありえませんが、万が一、爪の変形、脱毛、頭痛、めまい、吐き気、不眠、ニンニクに似た体臭、ふけの異常増加、 口の中に異常な(特に金属のような)味が残るというようなことがおこることがあれば、それはセレン過剰の兆候ですから、セレンをとるのはしばらくひかえてください。
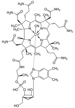
ビタミンB12

このビタミンが欠乏すると、すべてのタンパク質に含まれている必須アミノ酸であるメチオニンから代謝されてくるホモシステインをリサイクルすることができず、メチオニンが不足してきます。メチオニンのさまざまな働きの一つは、セレンの運搬役です。
セレンは非常に大切なミネラルで、これが欠乏すると免疫の低下がおこり、ウイルスや細菌の感染をおこしやすくなります。また、先に述べたように、甲状腺ホルモンのうち活性の強い方のT3の生産にセレンが深く関与していますから、B12が欠乏すると、結果的に甲状腺機能が弱まり、ひいては免疫の力も弱くなります。
図のように非常に複雑な構造をしており、人工的に合成することは不可能だと考えられてきましたが、チューリッヒ工科大学とハーバード大学の共同で、12年かけて1972年についに化学合成されました。ごくまれに、ビタミンB12は、ニキビを悪化させることがありますから、もし、そのようなことがおこれば、B12はひかえてください。
余談ですが、私が医学生の時、生化学の試験で、ビタミンB12の構造式を書けという、無茶苦茶な問題が出たことがあります。出題した教授は“鬼”の名物教授で、その先生の試験を一発でとおるのは1割の学生で、8割が再試験を果たされ、残りの1割はそれでもとおらず、泣く泣く、留年を余儀なくされていました。
グルタチオン

これは、三つのアミノ酸(グルタミン酸、システイン、グリシン)から成るトリペプチドで、強い解毒作用を示します。
グルタチオンを構成する、イオウ(硫黄:S)を含む-S-Hというチオール基に、さまざまな有害物質が結合され(これをグルタチオン抱合といいます)、細胞外に排出され、血液によって腎臓まで運ばれます。そこで、さらにメルカプツール酸に変換され、尿といっしょに排泄されるわけです。
グルタチオンに含まれているイオウの臭いで、製品が腐っているのではないかと心配された患者さんがいました。その心配はまったくありません。むしろ、イオウのくさい臭いがあるからこそ、そのサプリメントはしっかりとイオウが含有されており、解毒効果があるのです。
また、強力な抗酸化剤としても、際立った性質をもっています。グルタチオンはペルオキシダーゼと共に、細胞障害活性が最も強力なヒロオキシラジカル(•OH)を無害な水に変換させます。グルタチオンは体内でつくられるのですが、それをつくるには十分にミトコンドリアが働かなくてはいけません。ところが、加齢とともに、ミトコンドリアのエネルギー生成能力が低下し、ひいてはグルタチオンの生成も減少し、強力なヒドロオキシラジカルに対処できるほどの量には足らなくなってきます。
ビオスリー

ビオスリーは腸を整えるための有益な3種類の細菌がミックスされたサプリメントの商品名です。腸は第二の脳とよばれるくらい、脳と密接に関係があります。腸の長さは日本人の大人の場合6~7メートルもあり、広げるとテニスコート1面分の面積があります。 そこに存在する神経細胞の数は1億個で、脳以外に散在する神経細胞の約50%は腸に集まっているのです。 つまり、腸は脳とともに、精神的ストレス、情緒、睡眠などを共同でコントロールしているわけです。神経が疲労すると、当然、免疫も衰え、あらゆる病気にかかりやすくなります。それをビオスリーで未然の内に防いでください。
腸は長いので、場所によって酸素の濃度が違い、住む細菌も違ってきます。酸素がないと生きてきない細菌(偏性好気性菌)、酸素は必ずしも存在する必要がないが酸素が存在すれば発育が良好となる細菌(通性嫌気性菌)、 酸素があると生きていけない細菌(偏性嫌気性菌)。ビオスリーはこれら三つの細菌をうまく組み合わせて、腸内の細菌叢(フローラ)を整えてくれます。フローラは人によって実にまちまちで、一つの細菌を補っただけでは、なかなかうまくいきません。
キャッツクロー

標高400~800mのアマゾン奥地に自生するツル性植物で、先住民が2000年以上にわたり使用してきた伝統的なハーブです。猫の爪“キッツクロー”に似たトゲ(写真の矢印)が葉の付け根についているのが、この名前の由来です。
キャッツクローの根や樹脂には五環系オキシインドールアルカロイド (POAs)が6種類含まれています。これらのアルカロイドは免疫バランスを整えるのに効果があり、白血球の貧食能やTリンパ球の機能を高めることが確認されています。
私は2010年3月にペルーに行き、「陸路では行けない世界最大の町」という異名をもつ、アマゾン上流の町イキトスで、現地の「治療師」と会話したことがあります(私の旅ブログ「アマゾンのヒポクラテス(1)」https://m.drmakise.com/blog/blog66.cfm)。
治療師いわく、キャッツクローは初期のがんを治すことができる。しかし、それにはキャッツクローの木を切ったあとに滲み出る、新鮮で透明な樹液を飲まなければいけないということです。新鮮な樹液など、日本ではとても入手困難ですが、がんさえ治すことが可能であれば、樹皮の乾燥粉末でも相当な免疫強化、体力強化に優れた効果がありそうです。
また、WHOは、1994年5月のジュネーブ会議でキャッツクローを副作用のない抗炎症剤として公式に認定しています。したがって、関節リウマチや変形性関節症にも非常にしばしば使われます。
月桃

このサプリメントの効能は、メニューのサイト内検索のボックスに「月桃」と入れていただければ、多くの個所に説明が出てきます。牧瀬クリニックの基本処方で、多くのサプリメントの組みあわせに、月桃は入っています。
月桃は特に甲状腺の機能を正常化してくれ、それによって体全体の代謝を整え、弱かった免疫を高めてくれます。月桃に含まれる数多くのポリフェノールが相乗的に抗ウイルス作用を示し、免疫も強くなるため、毎月、口唇ヘルペスに悩まされていた人などには、非常に効果があります。
タレジュのオイル

これに含まれる7つのエッセンシャル(ミントオイル、ユーカリオイル、カンファーオイル、サンショオイル、ウィンターグリーンオイル、レモングラスオイル、シナモン葉オイル)は、すべて抗菌作用をもっています。
詳しい説明は「タレジュのオイル」をお読みください。免疫力をあげるのに最も重要なことは、精神の安定です。タレジュのオイルの蒸気を吸うことによって、深い安らぎが得られます。コップにお湯を入れて、数滴、タレジュのオイルを垂らして、蒸気を吸ってください。お風呂に数滴入れて、入浴されても良いでしょう。再発するヘルペスの予防には非常に効果があります(ヘルペスがでている皮膚には塗ってはいけません)。
チャーガ(カバノアナタケ)

ロシアのノーベル賞作家ソルジェニツィンの作品「ガン病棟」にもチャーガについての記載があります。シベリアや北海道の、主に白樺の幹に寄生するキノコです。タバコウロコタケ科に属し、和名はカバノアナタケ。
一見したところ石炭のよう黒い塊で、それが樹皮から瘤のように出ています。キノコというイメージからは随分、様相を異にしています。ロシアでは農民がこれからお茶をつくり、伝統的な健康飲料としていました。
このキノコはアガリクスの3~4倍のβ -グルカンを含んでいます。β -グルカンは高分子多糖類の一種で、水溶性と、水溶性でない2種類があり、特に後者の水に溶けないβ -グルカンがチャーガに特異的で、それが他のキノコと比べてより強い作用を示すといわれています。
マクロファージの表面にはβ -グルカンと結合しやすいレセプターが存在するので、β -グルカンはマクロファージにたやすく貪食され、T細胞に情報を送り、免疫系が活性化するようです。また、インターフェロンの生成促進作用もあります。
その他、サポニン、イノシトール、リグニン、フラボノイド、トリテルペノイド、SODなど、数多くの健康に役立つ物質を含んでいます。活性酸素除去能力が他のキノコの20~30倍もあり、生活習慣病に幅広く効果を示してくれます。
木質化した細胞壁同士を結合させるリグニンによる、抗ウイルス作用も際立っており、インフルエンザウイルスやエイズウイルスの増殖抑制効果もあります。その他、アレルギー性疾患、慢性腎炎、慢性肝炎の改善作用、痔の予防、消化促進作用、神経痛、リウマチに対する鎮痛作用もあります。
私事で申し訳ないのですが、ずいぶん昔、2004年の1月、チベット医学の脈診のコンピュータープログラムを研究している、シベリアのロシア科学アカデミーに行ったおり、本場のチャーガを入手し、試してみました。便通が非常によくなり、また確かに体が軽くなるように感じられました。
亜鉛

亜鉛は全身の細胞内に存在し、侵入してきた細菌やウイルスを防御する免疫システムが十分に働くための必須ミネラルです。これが不足すると、リンパ球のT 細胞の機能に異常がおこります。
細胞は抗原を認識する抗原受容体を発現しますが、この抗原受容体の活性化にはチロシンキナーゼという酵素の活性化が必要なのです。しかし、亜鉛が不足すると、この酵素がうまく働かなくなり、結局、免疫システムの弱体化がおこります。
また、亜鉛は細胞性免疫において重要な役割を担う樹状細胞の分化・成熟にも関与しており、亜鉛が欠乏すると、樹状細胞のナイーブT細胞への抗原提示能力が低下します。したがって、免疫機能が十分に働かなくなるのです。
また、亜鉛は視床下部からの甲状腺刺激ホルモン放出ホルモン (TRH)の分泌に重要な役割を果たします。TRHによって、甲状腺刺激ホルモン(TSH)の分泌が促されます。そして、TSHは甲状腺で甲状腺濾胞の壁をつくっている濾胞上皮細胞での甲状腺ホルモンの合成・分泌を促進します。つまり、甲状腺が正常に機能するには、亜鉛も必須だということです。
甲状腺がうまく働かなければ、当然、免疫機能も落ちてしまいます。
亜鉛の血中の値は簡単に調べられますが、普通の健診で、亜鉛の血中値は調べません。 しかし、ALP(アルカリフォスファターゼ)は頻繁に調べられています。もし、ALPが基準値より低ければ、亜鉛やマグネシウムの血中濃度が低いかもしれません。 2~3ヶ月サプリメントから亜鉛やマグネシウムを補給してください。
ビタミンC

このビタミンは非常に重要なビタミンですが、適切な量を摂るのがけっこうむつかしいビタミンでもあります。効果があるからといって、2グラム/日以上は、摂らないほうが無難です。
ビタミンEと並んで、古典的な抗酸化剤で、そのためビタミン剤の基本中の基本です。詳しくは、私のサイト「活性酸素とフリーラジカル 1」をお読みください。あまりにも多彩な作用があり、ビタミンCだけで、分厚い本が書けるほどです。こと、免疫に関しては、ビタミンCはβ -グルカンと同じく、抗ウイルス作用を発揮するインターフェロンの生成を促します。
また、抗ストレスホルモンであるアドレナリンは副腎髄質で生成されますが、その生成にはビタミンCが必須です。ストレスの緩和は免疫機能向上に極めて重要です。
マイタケ

トンビマイタケ科に属し、“舞茸”とも書かれます。暖温帯から温帯北部にかけて分布し、ナラ類、カシ類、シイ類といったブナ科樹木の大木に寄生します。日本でも昔からの馴染みの深い食用キノコです。
マイタケに含まれているβ -グルカンの一部、MD-フラクションは、ヘルパーT細胞を増加させる働きがあります。また、サイトカインの一種インターロイキン-12(IL-12)はNK細胞に対する著明な活性化作用を示します。アシュワガンダ(詳しくは甲状腺対策のページを参考にしてください)とマイタケ抽出物を同時に摂ると、マクロファージがいっそう活性化し、IFN-γ、IL-6、IL-12,の産生低下が抑制され、免疫機能低下が多面的に抑制されるという研究があります。(https://www.ncbi.nlm.nih.gov/pubmed/22540105)
マイタケには、以上の免疫強化作用だけでなく、β -グルカンのX-フラクションはインスリンの働きを正常化して、血糖値を下げ、生活習慣病の予防に役立ちます。また、バナジウムも含まれており、それも糖尿病の改善に効果があります。
ビタミンDの前駆物質エルゴステロール、ナイアシン、水溶性食物繊維と不溶性食物繊維が豊富に含まれており、免疫強化だけでなく、骨粗鬆症、高血圧、便秘などにも効果があり、しかも美味しいキノコですから、マイタケを楽しんでください。
エキナセア

和名はムラサキバレンギク(紫馬簾菊)で、夏から秋にかけて紫色の花を咲かせる、北アメリカ原産のキク科の植物です。アメリカの先住民たちは、さまざまな病気や蛇に噛まれたあとの洗浄に使ってきました。
月桃と同じように、非常に多彩な抗酸化物質(カフェイン酸、ポリサッカライド、アルカミドなど)を含んでおり、それらが相乗的に働き免疫系を賦活し、風邪、インフルエンザなどを改善してくれます。特に初期に摂ってください。アレルギー症状の緩和作用もありますから鼻炎にも効果的です。また、むくみや、膀胱・尿道のトラブルの改善作用も認められています。
ドイツでは医薬品として取り扱われています。効果が強いということは、その分、注意して摂らねばならないことを意味し、ドイツでは8週間以上摂り続けないように注意されています。通常、2週間摂取し、1週間休むというサイクルが勧められています。
マグネシウム

このミネラルに直接依存する人体の酵素は、現在わかっているものだけで325種類もあります。亜鉛に依存する酵素が約200、銅が20そこそこ、セレンが10と比べて、抜群に多いのです。
それがゆえに、間接的にマグネシウムが関与する代謝も含めると、数千の化学反応に及ぶと推測されます。つまり、このミネラルが十分に存在しないと、生理機能は麻痺するということなのです。免疫に最も深く関係するリンパ球のT細胞の活性化にも、マグネシウムは必要です。
また、マグネシウムには有害物質の解毒作用があります。重金属と結合して、体外にはやく排泄させる働きがあるのです。
現代のあまりにも精製されすぎた食物には、昔とくらべて、マグネシウムが著しく欠如しています。しかも、ヒトはマグネシウムを蓄えるメカニズムを持ち合わせていません。さらに、最近の高脂肪の食餌はマグネシウムの吸収を妨げ、高タンパク質の食餌はマグネシウムを体外にはやく排泄させてしまいます。つまり、非常に多くの人たちが、潜在的にマグネシウム不足なのです。
マグネシウムを摂っていて、急に便が柔らかくなり、下痢がおこれば、それはマグネシウムのせいによることが多いので、摂取量を減らしてください。それと、甲状腺機能低下のため、チラージンを摂られているときは、マグネシウムの摂取は慎重に行ってください。マグネシウムはチラージンの作用を弱めることがあるからです。
就寝前30分に摂ると、眠りを深くしてくれる作用もありますから、不眠症気味の人には、そういう摂り方もいいでしょう。
著作権に関する表示:当ウェブサイト内のすべてのコンテンツ(記事/画像等)の無断転載及び無断転用(コンテンツを無断流用した改変の掲載も含む)は固くお断り致します。