活性酸素やフリーラジカルは必要な物質です。それによって、体に侵入してきた有害な細菌は殺されます。また、癌治療に放射線を使うのは、放射線によって生じたフリーラジカルによって癌細胞を破壊することができるからです。
しかし、不必要な活性酸素やフリーラジカルは健康な細胞にまで障害を与え、さまざまな病気の原因の一つになり、また、老化に拍車をかけます。脂質、タンパク質、核酸などの生体分子の酸化がひきおこされ、これは癌、心疾患、脳血管障害を代表とする生活習慣病の発症要因の一つで、アルツハイマー病、パーキンソン病の引き金にもなります。
したがって、特に癌家系、糖尿病・前糖尿病、認知症が気になる人、関節リウマチ、その他、原因がよくわからない病気、たとえばADHD(注意欠陥多動性障害)、SLE、多発性硬化症など、それにアトピー性皮膚炎、乾癬などの皮膚病の人も、チェックされた方が良いでしょう。加齢とともに活性酸素消去能力は衰えてきますからアンチエイジングのためにも、サビチェックは必要です。
では、実際に私たちの体はどのくらい、活性酸素やフリーラジカルで酸化されているのでしょうか? そのサビ具合を簡単に測れるものはないだろうか。ビタミンEやビタミンC、それに、体に良いとされるさまざまなサプリメントを摂っているものの、それが実際にどのように効いているかわからない。誰しもが思うことです。
人の体は千差万別です。ある人には、うわさの高いAというサプリメントに効果があっても、あなたにとっては、ほとんど効果がないこともあり得ます。また、同じお金を使うなら、あなたにとって、BというサプリメントがCというサプリメントよりも、サビを少なくしてくれるなら、Bというサプリメントを選んだほうが経済的です。
数種類のサプリメントを摂っている人は、このキットで調べることによって、どれだけそのサプリメントが効いているか、あるいは効いていないかよくわかります。自分に最も適したものを見つけ、無駄を無くしてください。
このサビチェックの原理は下記です。
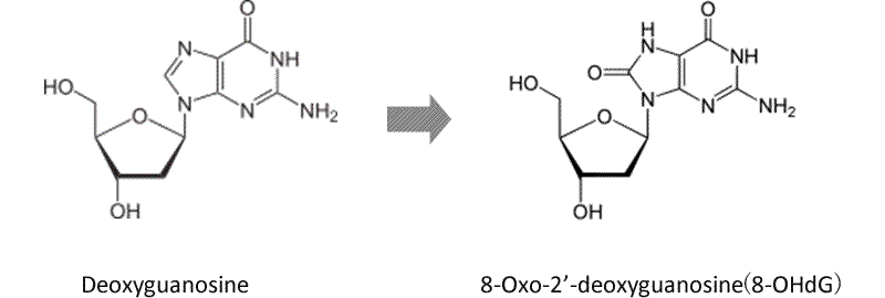
過剰にできた活性酸素によって、細胞内のDNAが酸化されると、酸化したDNAの一部は8-OHdGという別の物質になります。省略せずに書くと、8-hydroxy-2′-deoxyguanosineで、DNAを構成する塩基の一つdeoxyguanosine(dG)デオキシグアノシンがヒドロキシル化されたもので、DNA酸化損傷マーカーです。

サビついたDNAは、自らの修復機能により8-OHdGを切り離して体外へ尿として排出します。このため、尿中の8-OHdG の量を測定することで、体のサビつき度を調べることができるのです。
このチェックで、8-OHdGが33以下であれば、体のサビつき具合は、非常に軽度ですが、142以上であればかなり錆びています。さっそく、抗酸化作用のあるサプリメントを摂り、対処してください。(通常、8-OhdGをあらわす単位は、“ng/mgクレアチン”で、“33 ng/mgクレアチン”や“142 ng/mgクレアチン”のように表記します)。
当方でも、この検査キットをお分けしていますので、試してください。尿を採取し、検査機関に送るだけですから、じつに手軽です。酸化ストレス検査「サビチェク」
ここに述べることは、あくまで一般的な参考としての情報であり、読者が医学知識を増やすための自習の助けになるものであり、それを越えるものではありません。
また、ご自分の症状を正確に把握せず、ここに書かれてあるサプリメントを摂ったり、治療法を行い、症状が悪化しても、いっさい責任はとれません。 インターネットにより、Dr.牧瀬のアドバイスを受けられたい方は、「ご相談フォーム」よりご相談下さい
著作権に関する表示:当ウェブサイト内のすべてのコンテンツ(記事/画像等)の無断転載及び無断転用(コンテンツを無断流用した改変の掲載も含む)は固くお断り致します。