かなりの疲労感、うつ的気分、物忘れ、集中力がでてこない、便秘気味、冷え症、コレステロール値が高い、脈が遅い、ずんぐりと太り気味、顔もどこか全体的に浮腫気味、 毛髪がごわごわしている、白髪が増えた、精力減退(男性)、生理不順(女性)などの症状が重なっている。
甲状腺から分泌されるホルモンはT3、rT3、T4の3つがあります。そのうち、重要な働きをするのが活性の強いT3で、これが十分にできないと、いわゆる甲状腺機能低下症をおこします。
そういう時には、下記のサプリメントを試されたら良いでしょう。A、B、C、それぞれ違ったサプリメントをセットとして組み合わせています。
最初の1ヵ月はAセット、2ヵ月目はBセット、3ヵ月目はCセットというように摂り、体調を観察してください。そして、例えば、Bセットを摂っていたときが最も調子がよかったと感じられるなら、4ヵ月目からBセットを続けてください。
1) 甲状腺対策サプリメント「Aセット」
2) 甲状腺対策サプリメント「Bセット」
3) 甲状腺対策サプリメント「Cセット」
アメリカのサプリメントには、ケルプやブラダーラックなど、ヨードを多く含んでい るものがありますが、日本人には不適切です。なぜなら、日本人は食事から十分に海藻を摂っていますから、むしろヨード摂取過剰になり、甲状腺機能を悪化させる危険性を否定できません。
Doctors Supplements
甲状腺対策サプリメントに含まれる成分のはたらき
ビタミンB群
甲状腺が正常に機能するには、非常に多くのビタミンが関与します。とりわけ、ビタミンB類が不足しています。B1、B2、B3、B5、B6、B12、葉酸、ビオチンなど、どれ一つとして不足してはいけません。
人の体は千差万別です。また、食生活も限りなく個人差があります。したがって、いったいどのビタミンBが特別に不足しているかは、本来なら医療機関で調べてもらうのが一番よいのですが、ふつうは健康保険もききませんし、そういう検査を甲状腺機能低下のために行うところもまれです。したがって、とりあえず、ビタミンB類を網羅したサプリメントを摂ることです。よほど大量にこのサプリメントを摂らないかぎり、まず副作用の心配はありません。
セレン
活性の強い甲状腺ホルモンT3(トリヨードサイロニン)は、T4(サイロキシン)からヨウ素1原子が除去されてできます。

この時に必要なのが、セレン依存性のヨードチロニン脱ヨウ素酵素です。つまり、セレンが十分に存在していないと、生物学的活性の強度なT3が十分に生産されないのです。 専門的にお知りになりたい方は、下記を参考にしてください(英文) https://www.liebertpub.com/doi/abs/10.1089/thy.2016.0256
イノシトール

塩または水のストレスに対して植物で生産される物質で、ビタミンB群の一種に分類されます。9つの異性体があり、myo-イノシトールが一般的です。イノシトールはPCOS (Polycystic Ovary Syndrome:多嚢胞性卵巣症候群)によく使われるサプリメントとしてごぞんじの方もおられるかもしれません。
PCOSと橋本病(慢性甲状腺炎)をおこす遺伝子はオーバーラップしているものがあるようで、橋本病の患者さんの中にはPCOSを併発している人がおられます。このような患者さんにイノシトールを半年ほど摂ってもらうと、どちらの症状も軽快することがあります。特に上記のセレンと摂ると効果的です。
ビタミンB群のサプリメントにも含まれていることがありますが、その量では不足です。別に補う必要があります。
ビタミンD3

このビタミンは動物性の食事から、ある種のコレステロール(7-dehydrocholesterol)として最初、体内に取り込まれます。 それが皮膚で、紫外線にあたることでビタミD3に変換され、肝臓で25-hydroxyvitamin D3になり、さらに腎臓で1,25-dihydroxyvitamin D3となり、この最後のビタミンD3となってはじめて作用を発揮します。ほとんどの現代人はビタミンD不足です。
このビタミンが不足すると、脳下垂体の前葉から分泌されるTSH(甲状腺刺激ホルモン)のコントロールがうまく行きません。また、ビタミンDの不足自体が免疫系を狂わせ、甲状腺の機能を低下させます。したがって、このビタミンは甲状腺機能低下には必須なのです。
亜鉛

視床下部から甲状腺刺激ホルモン放出ホルモン (TRH)が分泌されます。このホルモンによって脳下垂体前葉からの甲状腺刺激ホルモン(TSH)の分泌が促されます。そして、TSHは甲状腺で甲状腺濾胞の壁をつくっている濾胞上皮細胞での甲状腺ホルモンの合成・分泌を促進します。
視床下部-脳下垂体-甲状腺hypothalamic-pituitary-thyroid axis (HPT axis)という大切な神経ホルモン伝達軸において、TRHの生産に亜鉛が必須なのです。つまり、TRH ↑→ TSH↑の図式になります。
アシュワガンダ

インドのアーユルヴェーダ医学で頻繁に登場し、女王と呼ばれるほど、さまざまな効果をもつハーブです。3000年以上にわたって使われています。
このハーブも視床下部→脳下垂体→甲状腺の軸に関与し、特にT4の生産を増やします。多様なストレスに対する抵抗力を高め、またGABA(γ-アミノ酪酸)と似た効果を有し、沈静作用もあります。
肝機能も高めてくれます。肝臓でもT4から活性の高いT3への変換がおこりますから、アシュワガンダの肝機能強化作用は甲状腺機能低下気味の人には重要です。アシュワガンダの摂取は授乳中でも安全ですが、妊娠中は避けたほうが無難です。
グッグル

グッグルはインド、バングラデシュ、中近東に自生する植物で、これも上記のアシュワガンダと同様にアーユルヴェーダ医学で非常によく使われます。特にその樹脂(やに)に効能があります。
甲状腺ホルモンを構成する最も重要な元素であるヨードの吸収を甲状腺で促す作用があります。また、T4からT3の変換を促してくれます。アシュワガンダとのコンビネーションは甲状腺機能低下に対するアーユルヴェーダ医学の伝統的な組み合わせです。
グッグルの機能成分は植物ステロールの一種であるグッグルステロンです。これは性ホルモンに類似した作用がありますので、妊娠中やホルモン補充療法を受けている方は摂らないでください。またコレステロールを下げる作用がありますから、抗高脂血症剤を服用している人は、主治医に相談してください。セントジョーンズワートとは一緒に摂らないでください。
エゾウコギ

日本では北海道、中国では黒竜江省、吉林省に多く自生します。ロシアの極東地域(アムール、サハリン)にも分布しますから、ロシアンジンセン(ロシア人参)とも呼ばれています。根の皮に多くの有効成分が含まれています。
特にエレウテロシドという機能性関与成分は、抗ストレス・抗疲労作用が著明で、1960年代に旧ソ連の科学アカデミーが本格的に研究し、1980年モスクワオリンピックの選手団強化に利用したことで、このハーブは有名になりました。
甲状腺機能低下の一般的な症状は、まず、疲労です。起床時からかなりの疲労感に襲われます。これをエゾウコギは軽減してくれます。
その作用機序は甲状腺そのものに直接働きかけるのではなく、視床下部-脳下垂体-副腎hypothalamic-pituitary-adrenal axis.という連携する神経ホルモン伝達軸に作用し、ホルモンバランスをオプティマルな状態に調整してくれます。
抗てんかん薬、ワルファリン(商品名:ワーファリン)などを服用している人、高血圧の人、妊娠中、授乳中は避けてください。
フラックスシードオイル

すべての病気の奥には炎症が潜んでいます。甲状腺の問題もそうです。甲状腺機能低下症の代表である橋本病は慢性甲状腺炎そのものです。その炎症をコントロールするのがエイコサノイドという物質なのです。
そして、エイコサノイドの産生をコントロールしているのが、オメガ3系統(ω3)とオメガ6系統(ω6)の不飽和脂肪酸です。炎症を抑える良性のエイコサノイドは、オメガ3不飽和脂肪酸から代謝されてきます。オメガ3不飽和脂肪酸の代表であるα-リノレン酸はフラックスシードオイルやエゴマオイルに多く含まれています。
詳しい説明は「現代の病気を解く6つのキーワード」の「炎症とエイコサノイド」のページを参考にしてください。
α-GPC

これはL-Alpha glycerylphosphorylcholine (グリセリルホスホリルコリン)の略です。主に脳や網膜に含まれる、コリン誘導体の一つです。 この物質は、血液脳関門を通過し、神経伝達物質であるアセチルコリンを増やします。そして、成長ホルモンの分泌も促します。成長ホルモンは、抹消の組織で(肝臓、骨、筋肉、などさまざまな組織)でT4からT3への変換を促進します。活性が強いのはT3ですから、この変換は非常に大切なのです。
そして、乳の中に非常に多く含まれていることから、おわかりになるように、きわめて安全な物質です。したがって、ぜひ補うべきサプリメントなのです。高純度の大豆レシチンから誘導してつくられます。
また、α-GPCは記憶力や認知力も高めることが確認されています。成長ホルモンの分泌も促しますから、それによって、若返りの効果も期待されます。
月桃

月桃の効能については、「ドクター牧瀬のサプリメントクリニック」のトップページの上のサイト内検索のボックスに「月桃」と入れていただければ、多くの個所に説明が出てきます。牧瀬クリニックの基本処方で、数多くの症例に使っています。
非常に多彩なポリフェノールを含有しており、それによって効果を表すのですが、その中でも特にフェルラ酸が多いのです。フェルラ酸はプロラクチンのレベルを下げることによって、甲状腺機能低下を防いでくれます。また、フェルラ酸は認知症予防にも効果があります。甲状腺機能が低下したときは、どうしても物忘れなどがおこりがちです。
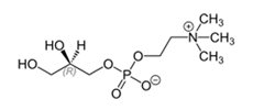
タイプⅡコラーゲン

甲状腺ホルモンは、甲状腺の濾胞(ろほう)上皮細胞から産生されます。図をごらんください。この濾胞上皮細胞をしっかりと働かせ、甲状腺ホルモンを産生させるには、コラーゲンが必要なのです。
コラーゲンのサプリメントを摂っても、吸収されないから、まったく意味がないというような意見をよくききます。それは、コラーゲンの分子が大きいので、腸から吸収されるには、いったんアミノ酸までに分解され、その時点ではコラーゲンでなくなっているということです。しかし、コラーゲンを構成するヒドロオキシプリンというアミノ酸は、普通の食物には含まれていません。
したがって、ヒドロオキシプリンを含んでいるタイプⅡコラーゲンのサプリメントを摂ることは、やはり理にかなっているのです。
チロシン

チロシンは必須アミノ酸ではありませんが、甲状腺機能低下の人には不足している可能性があります。甲状腺ホルモンのT4(サイロキシン)は、チロシンのNH2を含む活性部位(Tyrosyl Residues)から甲状腺濾胞上皮細胞のコロイドで、ヨウ素元素4つがくっつけられることによって、生成されます。つまり、このアミノ酸は甲状腺ホルモンの基本中の基本となる重要なアミノ酸なのです。牛乳、卵、大豆、チーズなどに多く含まれています。ちなみに、チロシンの語源はチーズのギリシア語「Τυρί」(ティーリと発音)からきているそうです。
必ずお読み下さい
これらのサプリメントは、あくまで補助であり、本格的な甲状腺機能低下症の治療薬となるものではありません。
「チラージン」をすでに服用しているが、それを摂りながら、これらのサプリメントも摂ってよいかどうかというご質問がよくあります。
はい、基本的には摂っていただいてけっこうですが、必ず主治医と相談してからお摂りください。また、サプリメントを摂っているからといって、チラージンを急に止めては絶対にいけません。 「チラージン」ではなくても、他の病気のために、特別な薬をお摂りになっている場合は、これも主治医とよく相談されてからお摂りください。甲状腺機能亢進の人は、このセットは摂らないでください。
妊娠を希望されている人で、甲状腺機能低下の気配がある場合は、必ず専門医と相談してください。甲状腺機能低下症の人が妊娠した場合、甲状腺機能がさらに低下することが多いため、厳密なコントローが必要となってきます。TSHは0.5~1.5μIU/mℓに維持されることが望まれます。
また、妊娠中のかたは、上記のサプリメントはお摂りにならないでください。
著作権に関する表示:当ウェブサイト内のすべてのコンテンツ(記事/画像等)の無断転載及び無断転用(コンテンツを無断流用した改変の掲載も含む)は固くお断り致します。